General Information

Top of Page

BSA 93-10: NHS-DOTA Synthesis

BNL Reference Number: BSA 93-10

Patent Status: U.S. Patent Number 5,428,156 was issued on June 27, 1995

Summary
TCP Technology
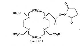
enlarge image

NHS-DOTA

A route for synthesis of this N-hydroxysuccinimide ester compound is provided. The method introduces a single NHS-compound onto N, N', N'', N'''-Tetracyanomethylene-1,4,5,11-tetraazacyclotetradecane. The NHS-ester compound can be purchased commercially or may be made by licensed entities.

Description

This compound is a bifunctional chelating agent that is useful for tagging macromolecules or other biological compounds with metals, particularly radio-metals. The labeled biological compounds can then be used as tracers for labeling and detection with PET, and SPECT and may also be used for targeted therapy when linked to specific antibodies, for example.

Benefits

The methods are relatively straightforward for producing the NHS-DOTA compound.

Applications and Industries

Companies seeking methods for monitoring therapies and for administering therapeutic radiometals may find this simple compound useful.

Have Questions?

For more information about this technology, contact Christine Brakel, (631) 344-7134.

Follow Us on YouTube Follow Us on Twitter RSS Feed